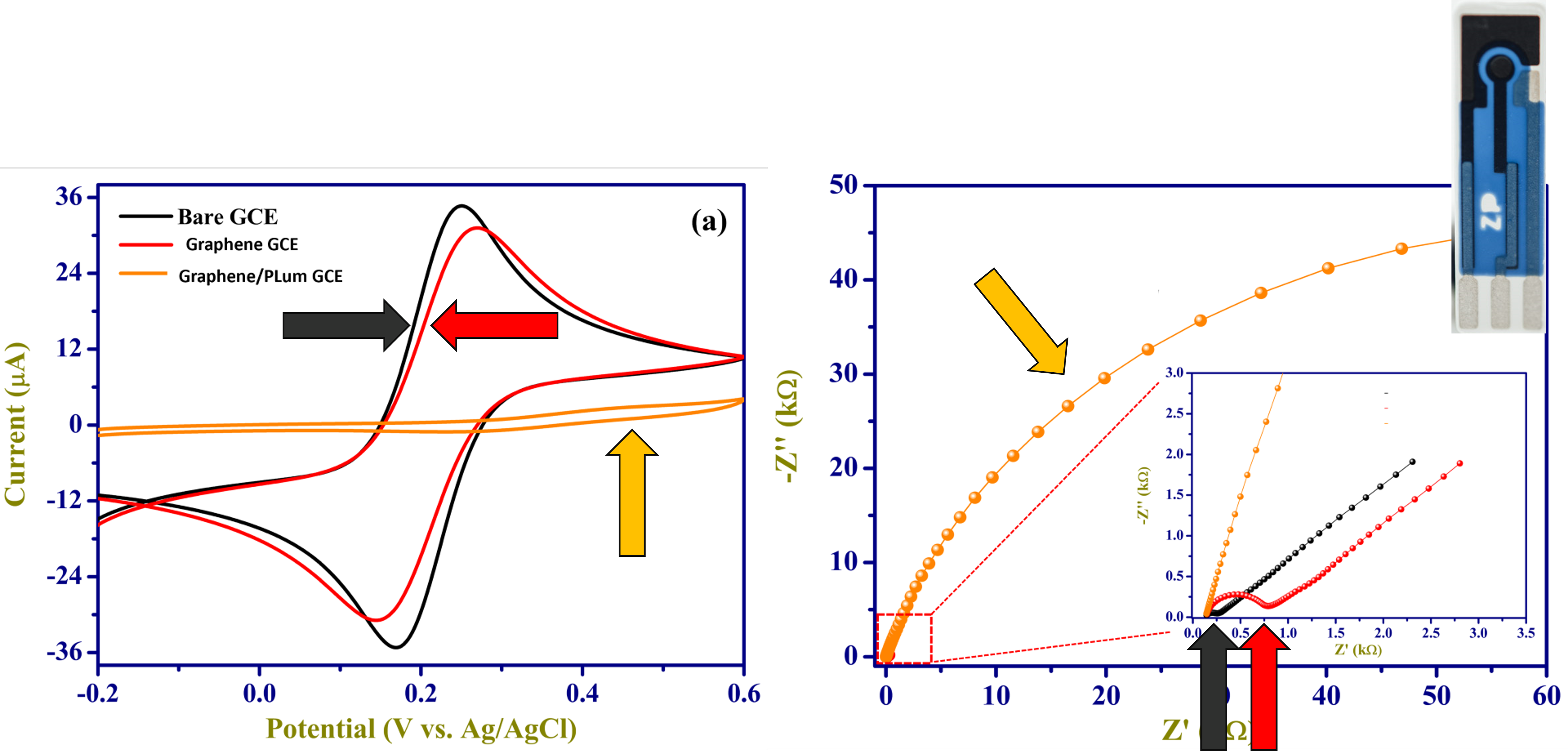
In our weekly webinars ZP answers questions that have come in during the week, in this section of our webinar we answered questions about polyluminol coating on a graphene electrode, it was also interesting that the graphite electrode performed better than the graphene electrode.
